용인세브란스병원, 산모-태아 애착 높이는 ‘챗봇 기반 태교 프로그램’ 개발

2025-10-31 13:19:12

시공간 제약 없어 부부가 함께하는 지속 가능한 태교에 도움
교육 전 남편 지지 수준 낮아도 효과적… ‘모아 애착’ 뚜렷하게 증가



연세대학교 용인세브란스병원 정신건강의학과 정경미‧박진영 교수, 서울대학교병원 산부인과 조희영 교수 연구팀은 챗봇을 활용한 산전 교육이 남편의 지지 수준과 관계없이 산모와 태아 사이의 애착을 높인다는 연구 결과를 최근 발표했다.

임신 기간 남편의 적극적인 관심과 정서적 지지는 산모의 우울감을 예방하고, 태아와의 애착(모아 애착)을 형성하는 데 중요한 역할을 한다. 그러나 이러한 관심과 지지를 끌어내기 위한 전통적인 대면 태교 프로그램은 시간과 장소의 제약으로 인해 부부가 함께 참여하기 어렵다는 한계가 있었으며, 코로나19를 시기에는 그 한계가 더욱 뚜렷해졌다.

연구팀은 시공간의 제약 없이 남편이 함께 참여할 수 있도록 한 모바일 챗봇 중재 기반 태교 프로그램을 개발하고, 이 프로그램이 모아 애착을 향상하는 데 효과가 있는지 확인하고자 연구를 수행했다. 해당 비대면 디지털 태교 프로그램은 연구팀이 지난 2021년 주산기(출산 전후 기간) 여성에게 임신‧분만 관련 정보와 정신건강 관리 방법을 제공하기 위해 개발한 모바일 메신저(카카오톡) 기반 챗봇 ‘닥터 조이(Dr. Joy)’를 활용해 설계됐다.

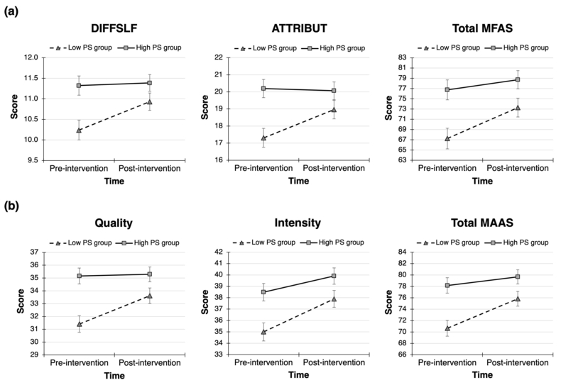
연구에는 임신 21주에서 32주 사이의 초산부 60명이 참여했다. 연구팀은 교육을 진행하기에 앞서 산모가 남편으로부터 받는 사회적 지지에 대한 만족도를 11개 문항으로 조사해 점수에 따라 낮은 지지 그룹(29명)과 높은 지지 그룹(31명)으로 나눴다. 

모든 여성 참가자는 닥터 조이를 통해 남편의 적극적인 참여를 유도하는 6가지 산전 교육 과제(태명 정하기, 동화 읽어주기, 태담 등)를 2주간 수행했다. 교육의 효과를 분석하기 위해 연구팀은 프로그램 참여 전후로 산모의 정서적 모아 애착과 인지-행동적 모아 애착을 반복 측정하고, 교육 참여 소감에 대한 질적 분석을 병행했다.

그 결과, 챗봇 기반 산전 교육은 남편의 지지 수준과 무관하게 모든 산모에게서 정서적 모아 애착(아기를 생각하는 빈도나 감정의 강도)을 유의미하게 높였다. 특히 낮은 지지 그룹에서는 높은 지지 그룹과 비교해 태아를 하나의 독립된 존재로 인식하고 성격이나 의도를 부여하는 인지-행동적 모아 애착 수준이 뚜렷하게 높아졌다. 또한 자가 보고 결과, 산모들은 태아뿐 아니라 배우자를 포함한 가족 관계 전반으로 행복감이 확장됐다고 응답했다.

 박진영 교수는 “이번 연구는 디지털 헬스 기술을 활용해 기존의 산모 중심 교육에서 한 단계 나아가, 부부가 함께 건강한 태교를 지속할 수 있는 실용적이고 효율적인 교육 모델을 제시했다는 점에서 의미가 크다”라며 “챗봇 중재 기반의 태교가 남편의 아기를 향한 정서적 유대감 형성뿐 아니라 임신 중 불안 및 우울증 예방, 산후 우울증 위험 감소에도 기여하길 기대한다”라고 말했다. 

이 연구 결과는 국제 학술지 ‘Scientific Reports’에 최근 게재됐다. 



김준영 기자 kjy1230@medifonews.com
< 저작권자 © Medifonews , 무단전재 및 재배포금지 >
- 본 기사내용의 모든 저작권은 메디포뉴스에 있습니다.

메디포뉴스 서울시 강남구 논현로 416 운기빌딩4층 (우편번호 :06224) 정기간행물 등록번호: 서울아 00131, 발행연월일:2004.12.1, 등록연월일: 2005.11.11, 발행•편집인: 진 호, 청소년보호책임자: 김권식 Tel 대표번호.(02) 929-9966, Fax 02)929-4151, E-mail medifonews@medifonews.com